凯发k8

English 凯发k8集团企业邮箱

第五节 两个较大样本均数的μ磨练

作者:徐荣祥 出书社:中国科学手艺出书社 刊行日期:2009年7月

当两个样本数目较大时(即两组样本皆大于50),,不必查t值表,,可接纳μ磨练要领。。其公式为:

示例376某医生对100例重度烧伤病人和100名康健者的血清钠检查效果举行统计剖析,,资料汇于下(表374)。。问组间有无显著性意义????

【解题办法】
1建设无效假设和确定显著水准:H0:康健组与烧伤组血钾均数相同,,μ1=μ2;;;H1:μ≠0;;;α=005。。
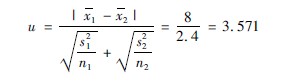
2盘算u值:

3盘算自由度:(100+100)-2=198,,当n′=198时,,t005≌1972,,t001≌2345,,t0001≌3340,,今t=3571,,即大于2345,,也大于3340,,则P<0001。。
4结论:重度烧伤病人与康健人较量,,血钠水平下降具有显著性差别。。

【网站地图】【sitemap】