凯发k8

English 凯发k8集团企业邮箱

第三节 成对样本均数的t磨练

作者:徐荣祥 出书社:中国科学手艺出书社 刊行日期:2009年7月

此要领顺应于统一批病人或试验动物处置惩罚前后或配对较量差别的显著性磨练。。。成对较量的基本要领是先盘算出试验前后两数据之差,,然后用差数的均数及其标准误盘算t值。。。公式划分为:

示例37410例高血压病人接纳A种降压药物治疗,,治疗前后的舒张压转变效果纪录于表371中。。。问A种降压药物治疗后的舒张压转变与治疗前有无显著性差别???? ? ?


【解题办法】
1建设无效假设和确定显著水准(α):设H0:差数的总体均数即是零(治疗前后舒张压无转变,,则治疗前后舒张压的总体均数必定即是零),,即μ=0;;;;;;设H1:μ≠0。。。α=005。。。
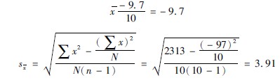
2求出每一例病人治疗前后舒张压转变的差值(x),,将其相加得出差数总和(-97)。。。
3划分盘算差数的平均值(x)与标准误(sx):

4盘算t值:

5凭证自由度查t值表:自由度即是9(10-1)时,,t005=2262,,现t值为248,,大于2262,,即t>2262,,P<005,,说明差别显著。。。
6效果判断:A种降压药物具有降低舒张压的作用。。。

【网站地图】【sitemap】