凯发k8

English 凯发k8集团企业邮箱

第二节 相关系数的盘算

作者:徐荣祥 出书社:中国科学手艺出书社 刊行日期:2009年7月

一、小样本盘算法
示例391测得8例烧伤病人的血浆白卵白与胶体渗透压数值(表391),,,,,,确定它们之间是否保存直线关系?? ?

【解题办法】
1凭证表391中的数字,,,,,,以横坐标体现血浆白卵白(x),,,,,,纵坐标体现渗透压(y),,,,,,绘成散点图(示图391)。。。。从所绘制的图中可以看出,,,,,,这些点子基本呈直线趋势。。。。


2列相关系数盘算表(表392)

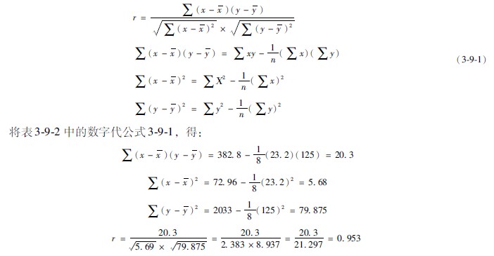
3盘算r值:凭证以下公式盘算r值。。。。

4结论:r为0953,,,,,,体现血浆胶体渗透压随血浆白卵白浓度的增添而上升。。。。
二、大样天职组资料盘算法
由于大样本的原始资料较多,,,,,,应先体例相关的频数表,,,,,,再用简捷法盘算均数(x)。。。。相关频数制表要领与单变量频数表相似,,,,,,所差别的是单变量频数表只按一种变量x分组,,,,,,而相关频数表有两个变量(x、y),,,,,,取一个变量(x)为纵标目,,,,,,另一个变量(y)为横坐标目。。。。纵标目由左到右、由小到大写在表的上端;;;;;;横标目自上到下、由小到大写在表的左侧。。。。然后划记,,,,,,接每对数据记在纵横标目相交处,,,,,,盘算各组段的频数,,,,,,将纵行的总计写在下面的fx横行内,,,,,,将横行的总频数写在fy纵行内。。。。然后参照计量资料指标的形貌章节平均数的简捷法,,,,,,划分求x、y的简捷值(x、fx),,,,,,举行运算。。。。

示例392某医生丈量了40例早期大面积烧伤病人的血浆黏度(CP),,,,,,视察效果汇入表393中,,,,,,试求烧伤面积与血浆黏度之间相关系数?? ?

【解题办法】
(1)作相关盘算表(表393):先将资料按烧伤面积(竖行)和血浆黏度(横行)填入表中,,,,,,再将竖行与横行相交的病例数(频数)填入响应之交织处。。。。如“~40%”TBSA组段血浆黏度在“16~”段处有1例,,,,,,即在此处填1,,,,,,余仿此。。。。
(2)参照平均数值及标准差的简捷法,,,,,,划分求出x及y的dx简化值(dx、dy)、∑fxdx、∑fydy、 ∑fxd2x及fyd2y,,,,,,填入表的响应位置(注:∑fx=∑fy,,,,,,本例均为40)。。。。
(3)表中∑fdx的盘算要领:各小格的频数(f)乘响应的dx,,,,,,再将各乘积相加。。。。如y为“~70”段的行内,,,,,,∑fdx =4×0+1×1+1×2+1×4=7;;;;;;y=“~90”段行内,,,,,,∑fdx=1×(-1)+2×0+1×1+3×2+2×3+1×4=16。。。。(注:∑fdx的总计应即是∑fxdx ,,,,,,本例皆为43)。。。。
(4)∑fdxdy的盘算:为各行的∑fdX与dy相乘之积。。。。
(5)求r值:因本例为大样本资料,,,,,,不可直接代入小样本r公式,,,,,,需接纳分组公式盘算r:
①求离均差平方和与离均差积和:
求离均差平方和(lxx,,,,,,lyy):离均差积和(lxy);;;;;;
本例n=40,,,,,,x组距ix=02,,,,,,y组距iy=10;;;;;;


(5)结论:因r值为0494,,,,,,说明烧伤早期血浆黏度随烧伤面积的增大而上升。。。。
三、相关系数的显著性磨练
上述两例的相关系数均是凭证样本资料盘算出来的。。。。和其他统计量一样,,,,,,凭证样本资料盘算出来的相关系数也必定受到抽样误差的影响。。。。也就是说,,,,,,从相关系数为0的总体 (即无线性相关)中随机抽样也可能抽到|r|>0的样本。。。。因此,,,,,,通过盘算获得相关系数后,,,,,,还不可凭证|r|的巨细对x、y关系的亲近水平作出判断,,,,,,需要举行r显著性磨练,,,,,,以便预盘算得的r由抽样误差(即相关系数为0的总体)引起的可能性有多大。。。。若是从相关系数为0的总体中随机抽得样本r的时机较大(P>005),,,,,,则样本r很可能抽自r为0的总体,,,,,,两者差别无显著意义;;;;;;此时纵然|r|值较量大,,,,,,也不可以为x与y有相关关系。。。。反之,,,,,,若是从相关系数为0的总体中随机抽取获得云云大的样本r的时机较小 (P≤005),,,,,,则以为此样本r很可能不是抽自r为0的总体,,,,,,两者(样本r和总体)相差显著。。。。此时纵然|r|较量小,,,,,,我们也以为x与y有相关关系。。。。只有相关有显著意义时,,,,,,我们才华凭证相关系数绝对值的巨细来说明x与y相互关系的亲近水平。。。。
相关系数的显著性磨练可用t磨练法和查表法确定:

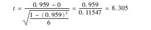
1以示例391为例,,,,,,盘算t值,,,,,,得:

本例自由度为(n′)为6,,,,,, P005界值为2447,,,,,,P001界值为3707,,,,,,本例t=8305,,,,,,不但大于2447,,,,,,也大于3707,,,,,,故P<001,,,,,,即相关系数很是显著。。。。
2以示例392为例,,,,,,盘算t值,,,,,,得:

本例自由度(n′)为38,,,,,, P005界值为2024,,,,,,P001界值为2712,,,,,,P0001界值为3566,,,,,,本例t=350,,,,,,大于2024和2712,,,,,,但小于3566,,,,,,故P<0001,,,,,,即相关系数很是显著。。。。

【网站地图】【sitemap】