凯发k8

English 凯发k8集团企业邮箱

第二节 相对危险度公式的形貌与应用

作者:徐荣祥 出书社:中国科学手艺出书社 刊行日期:2009年7月

一、相对危险度与示例剖析
RR通常用于前瞻性研究。。。公式中的P1和P2划分体现统一事务在两种差别情形下的爆发率。。。一样平常用P1体现袒露在危险因素下某事务的爆发率 ;;;;;;P2体现未袒露在危险因素下某事务的爆发率,,,,两者之比值具有倍数关系。。。事务指的是诸如患病、殒命、熏染、发病等。。。
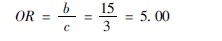
相对危险性(RR)的盘算公式(351)为:

示例351某医生视察了150例成年大面积烧伤患者,,,,其中100例伤前有胃十二指肠溃疡病史,,,,烧伤后爆发出血者10例,,,,50例无溃疡病史者烧伤后爆发出血者2例,,,,试盘算有溃疡病与无溃疡病烧伤患者消化道出血的相对危险度。。。
【解题办法】
1先将题中的频数漫衍列入(表351)。。。

2划分盘算溃疡组与无溃疡组的P1与P2值: P1=10/100=01(或10%) ;;;;;;P2=2/50=004(或4%)。。。
3将P1与P2效果代入公式351,,,,得:

4效果剖析:烧伤前有溃疡病病史者消化道出血的相对危险度RR=25,,,,这意味着有溃疡病病史者烧伤后消化道出血时机是无溃疡病病史者的25倍。。。
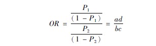
二、 比数比(OR)与示例剖析
OR也称优势比,,,,常用于回首性研究。。。由公式(552)可以看出,,,,它们只是两个比数相除,,,,因此,,,,称为比数比。。。比数比的主要意义在于当某事务的爆发率(如发病率或患病率,,,,或病死率)很小的情形下,,,,1-P1≈1,,,,1-P2≈1,,,,从而OR≈RR。。。即在某事务爆发率很小的情形下,,,,比数比近似地即是相对危险度。。。别的,,,,当OR=1时,,,,一定会有RR=1,,,,反之,,,,当RR=1时,,,,一定会有OR=1。。。
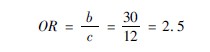
比数比(OR)的盘算公式:为(352):

示例352某医生研究烧伤与职业的关系,,,,共视察了2个工厂的职工,,,,各100人,,,,化工厂100人中有20人一经爆发过烧伤,,,,纺纱厂100人中有5人一经爆发过烧伤,,,,盘算其比数比。。。
【解题办法】
1将示例352中的数值汇于表352中:

2划分盘算ad与bc:ad=20×95=1900,,,,bc=80×5=400。。。
3盘算OR:1900/400=475。。。
4效果剖析:化工职业的烧伤爆发时机是纺纱职业的475倍。。。
第三节OR值的χ2磨练
“病例-比照研究”是通过回主要领较量病例和比照患者在患病前袒露于某种可能的危险因素方面的差别,,,,剖析该因素与疾病的可能关系。。。病例-比照研究中,,,,若是病例组与比照组的袒露史只取袒露和非袒露两个水平,,,,常用设计要领有两种,,,,一个是成组的病例比照设计,,,,另一个是配对的病例-比照设计,,,,即1∶1配对设计。。。它们虽然都是接纳四格表排列形式,,,,但内容结构纷歧样(见表353和354)。。。

一、成组病例-比照研究
成组病例-比照研究也称成组资料,,,,属于单因素剖析。。。成组与比照研究病例多不是来自一牢靠人群,,,,可能为门诊或病房病人,,,,故无法盘算发病率或殒命率,,,,也难以盘算RR值,,,,只能用OR来预计RR值的巨细,,,,应接纳比数比(OR)公式盘算,,,, 盘算公式接纳352,,,,显著性磨练公式为(353):

示例353某医生研究皮肤瘢痕癌与烧伤瘢痕的关系,,,,资料汇于表355中。。。问烧伤瘢痕是否是组成烧伤瘢痕癌的危险因素????

【解体办法】
1凭证公式352,,,,盘算比数比(OR):

2比数比的假设磨练:当OR=1时,,,,以为瘢痕癌与烧伤瘢痕无关联。。。
3建设磨练假设,,,,确定磨练水准:H0:总体OR=1 ;;;;;;H1:总体OR≠1 ;;;;;;α=005。。。
4盘算Χ2数值:以公式(353)盘算,,,,得:

5效果剖析:因本例χ2=2875,,,,2875>χ20005(1)(788),,,,故P<0005,,,,比数比有很是显著意义,,,,故可以为烧伤瘢痕爆发癌变的危险性大于非烧伤瘢痕人群。。。
二、 配对设计资料剖析
配对资料剖析又称“1∶1”配对资料,,,,也属单因素资料。。。当“病例-比照研究”是以一确定人群为工具(该确定人群包括了所有病例或所有病例的一个随机样本)时,,,,可用以下公式盘算其人群中袒露者与非袒露者人数,,,,并将其作为分母,,,,求出两组的发病率或殒命率,,,,然后盘算OR和举行显著性磨练。。。

示例354某医生研究大面积烧伤接纳“胃肠黏膜 ;;;;;;ぜ”预防胃出血的作用,,,,资料汇于表356中。。。问大面积烧伤病人不必“胃肠黏膜 ;;;;;;ぜ”举行预防治疗,,,,是否是大面积烧伤病人爆发胃出血的危险因素?

【解题办法】
1凭证公式(354),,,,求OR的值:

2比数比的假设磨练:即磨练总体OR与1之间的差别是否具有统计学意义。。。
(1)建设磨练假设,,,,确定磨练水准:H0:总体OR=1 ;;;;;; H1:总体OR≠1 ;;;;;; α=005。。。
(2)盘算磨练统计量:凭证表355数据,,,,盘算X2值:

3确定P值,,,,作出推断结论:
查χ2界值表,,,,由于自由度(n′)=1,,,, χ2=672>χ2001(1)。。。按α=005的水准拒绝H0,,,,接受H1,,,,说明胃肠黏膜 ;;;;;;ぜ炼源竺婊丈瞬∪顺Φ莱鲅哂斜 ;;;;;;ぷ饔,,,,说明不必胃肠黏膜 ;;;;;;ぜ练乐握弑⒊Φ莱鲅南喽晕O招晕 ;;;;;;ぶ瘟谱榈672倍。。。
三、 关于OR的95%可信区间的盘算
OR盘算值仅是一个总体参数,,,,它所指的仅是一个面,,,,而不是一个点,,,,需要盘算其95%的可信区间,,,,盘算公式为(356):OR1±196/Χ2
示例355:某医生研究户内烧伤与户外烧伤与吸入损伤的关系,,,,效果见表357:

【解题办法】
1凭证公式(352)盘算OR:

3因自由度为1,,,,χ2>664,,,,故P<001,,,,比数比有很是显著意义,,,,可以为袒露于室内情形爆发吸入损伤的危险性比室外组为高。。。
4凭证OR的95%可信区间的盘算公式(356):OR的95%可信区间为:

199(1±196/1593)(即上下波动规模在142~279之间)。。。
示例356:某医生研究化工与非化工职业工人与烧伤的关系,,,,视察资料汇于表358,,,,问袒露于化工职业组工人爆发烧伤的危险性是否高于非化工职业组????并盘算其95%可信区间。。。

【解题办法】
1凭证公式(354)盘算OR:

2凭证公式(355)盘算χ2值:

3因自由度为1,,,,χ2>664,,,,故P<001,,,,比数比由很是显著意义,,,,可以为袒露于化工职业爆发烧伤的危险性比非化工组为高。。。
4凭证OR的95%可信区间的盘算公式(356):OR的95%可信区间为:

25(1+196/688)(即上下波动规模在126~496)

【网站地图】【sitemap】